Tháng 9 tại Hà Nội chứng kiến việc xử lý phạt nguội đối với 221 phương tiện, bao gồm cả ô tô và xe máy. Những trường hợp vi phạm được ghi nhận và xử lý nhằm nâng cao ý thức chấp hành luật giao thông, giúp đảm bảo an toàn cho người dân thủ đô. Bài viết này tổng hợp chi tiết danh sách các phương tiện bị phạt nguội cùng hướng dẫn tra cứu, xử lý để chủ phương tiện thuận tiện giải quyết.
Tổng quan về phạt nguội tại Hà Nội trong tháng 9
Trong tháng 9 vừa qua, công tác kiểm tra và xử lý vi phạm giao thông theo hình thức phạt nguội tại Hà Nội tiếp tục được chú trọng. Hình thức ghi hình các lỗi vi phạm qua camera được triển khai đồng bộ trên nhiều tuyến đường trọng điểm, giúp phát hiện kịp thời những trường hợp không tuân thủ quy định. Việc áp dụng công nghệ hiện đại đã góp phần minh bạch trong quá trình xử lý, đồng thời nâng cao hiệu quả của lực lượng chức năng trên địa bàn thành phố.
Số lượng phương tiện vi phạm được ghi nhận
Theo thống kê chính thức, có tổng cộng 221 phương tiện gồm cả ô tô và xe máy đã bị xử lý phạt nguội trong tháng 9. Con số này phản ánh mức độ tuân thủ luật giao thông còn nhiều hạn chế ở một bộ phận người điều khiển phương tiện. Điều này cũng là tín hiệu để các cơ quan chức năng điều chỉnh kế hoạch tuần tra kiểm soát, tăng cường tuyên truyền nâng cao nhận thức người dân.
Công nghệ và phương thức ghi hình vi phạm
Hà Nội hiện đang ứng dụng hệ thống camera giám sát giao thông với khả năng ghi lại hình ảnh chất lượng cao cả ngày lẫn đêm. Các thiết bị này được đặt tại nhiều vị trí dễ xảy ra vi phạm như nút giao thông lớn, khu vực đông dân cư và các tuyến đường chính. Dữ liệu hình ảnh sau đó được chuyển về trung tâm xử lý để xác minh và đối chiếu với thông tin đăng ký xe, đảm bảo tính chính xác trước khi ra quyết định phạt.
Thời gian áp dụng và phạm vi xử lý vi phạm
Chế độ phạt nguội tại Hà Nội được thực hiện liên tục suốt tháng 9 với phạm vi bao phủ rộng khắp các quận huyện trên địa bàn thành phố. Thời gian theo dõi các lỗi vi phạm thường diễn ra trong vòng 30 ngày kể từ khi thu thập dữ liệu. Quá trình này giúp đảm bảo không bỏ sót các trường hợp vi phạm dù xảy ra ở bất kỳ khu vực nào thuộc Hà Nội.
Hướng dẫn tra cứu và liên hệ giải quyết phạt nguội
Việc nắm rõ cách tra cứu thông tin về các lỗi phạt nguội đóng vai trò quan trọng để chủ phương tiện có thể kịp thời xử lý tránh những hậu quả không mong muốn. Hà Nội hiện hỗ trợ người dân nhiều kênh tra cứu thuận tiện nhằm cung cấp danh sách chi tiết các trường hợp bị xử lý, cũng như hướng dẫn thủ tục làm việc với cơ quan chức năng.
Tra cứu trực tuyến trên trang Cục Cảnh sát giao thông
Trang web chính thức của Cục Cảnh sát giao thông cung cấp dịch vụ tra cứu phạt nguội nhanh chóng và miễn phí. Người dùng chỉ cần nhập biển số xe hoặc số giấy tờ đăng ký để kiểm tra tình trạng vi phạm của phương tiện mình sử dụng. Giao diện đơn giản thân thiện giúp mọi đối tượng dễ dàng thao tác mà không cần phải đến trực tiếp cơ quan.
Liên hệ Đội Chỉ huy giao thông – Phòng CSGT Hà Nội
Ngoài hình thức tra cứu trực tuyến, chủ xe có thể liên hệ trực tiếp với Đội Chỉ huy giao thông thuộc Phòng Cảnh sát giao thông Hà Nội để nhận tư vấn cụ thể về các lỗi vi phạm cũng như hướng dẫn quy trình giải quyết phạt nguội. Đội ngũ nhân viên tận tâm luôn sẵn sàng hỗ trợ giải thích thắc mắc nhằm tạo điều kiện thuận lợi nhất cho người dân.
Các địa điểm tiếp nhận giải quyết vụ việc tại Hà Nội
Để hoàn tất thủ tục nộp phạt hoặc khiếu nại về các trường hợp phạt nguội, chủ phương tiện có thể đến một số địa điểm tiếp nhận do cơ quan chức năng chỉ định trên địa bàn thành phố. Các điểm này được phân bổ hợp lý nhằm giảm thiểu thời gian di chuyển cho người dân đồng thời đảm bảo tiến trình giải quyết diễn ra nhanh chóng và chính xác.
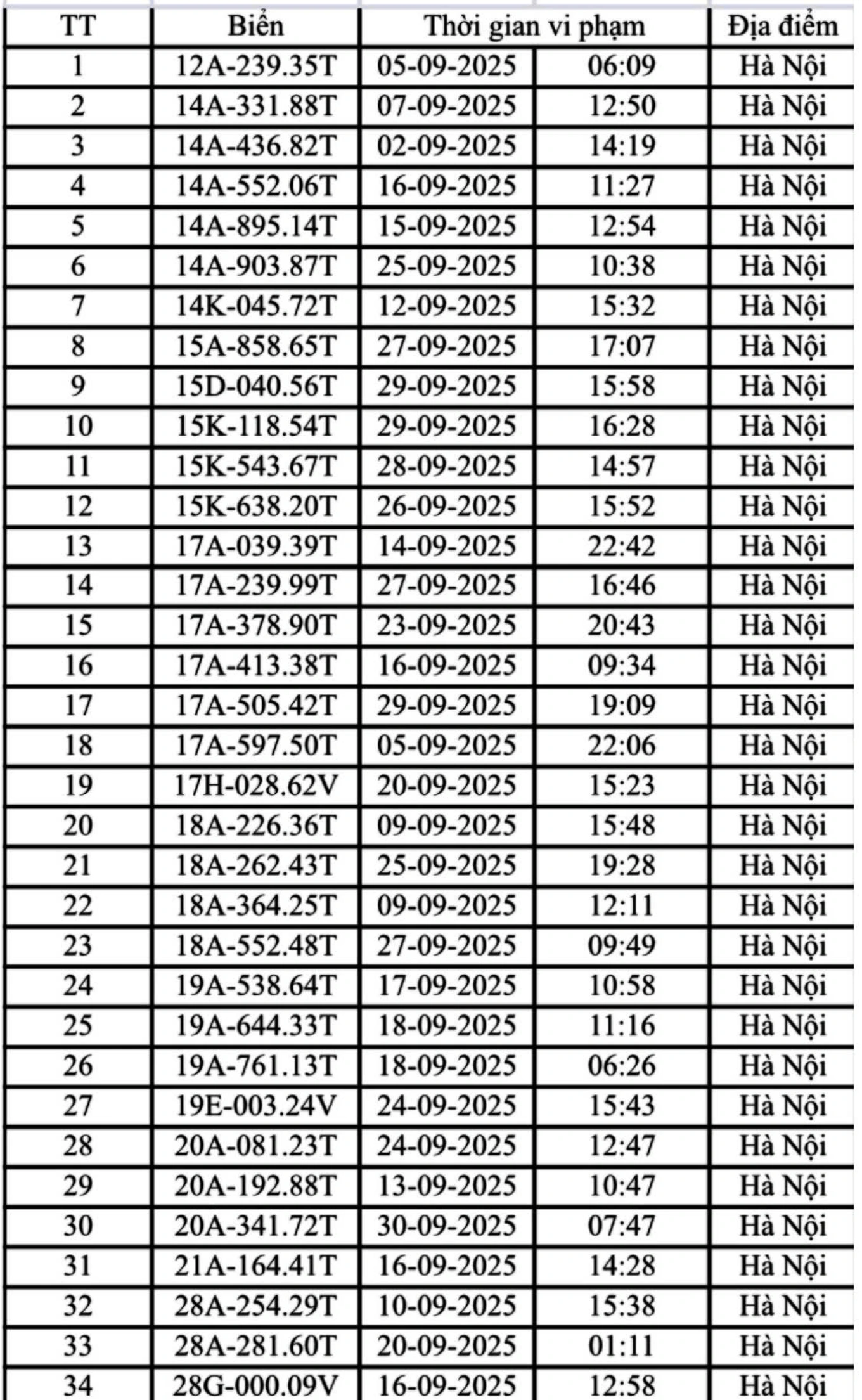
Danh sách ô tô vi phạm trong tháng 9

Hình ảnh danh sách chi tiết ô tô bị phạt nguội

Danh sách các biển số xe ô tô bị phạt nguội

Danh sách cụ thể các xe ô tô bị phạt nguội

Chi tiết từng trường hợp xe ô tô vi phạm

Thông tin cụ thể về các xe ô tô bị xử lý

Danh sách tổng hợp các trường hợp ô tô bị phạt nguội
Danh sách ô tô bị xử lý trong tháng 9 phản ánh đa dạng loại hình phương tiện từ xe cá nhân đến xe dịch vụ vận tải. Mỗi trường hợp đều được ghi nhận đầy đủ biển số và lỗi vi phạm tương ứng, tạo thuận lợi cho việc tra cứu cũng như công khai minh bạch theo đúng quy định pháp luật.
Danh sách xe máy vi phạm trong tháng 9

Thông tin cụ thể về các xe máy bị xử lý phạt nguội
Cùng với ô tô, danh sách xe máy vi phạm cũng được công bố đầy đủ nhằm đảm bảo việc quản lý chặt chẽ hơn. Lượng lớn xe máy tham gia lưu thông hàng ngày khiến đây là nhóm đối tượng cần kiểm soát kỹ lưỡng để hạn chế nguy cơ gây tai nạn hoặc ùn tắc giao thông do những hành động thiếu ý thức của người điều khiển.
Các lưu ý dành cho chủ phương tiện khi bị phạt nguội
Khi nhận được thông báo hoặc phát hiện bản thân nằm trong danh sách bị phạt nguội, chủ phương tiện cần nhanh chóng tìm hiểu kỹ lưỡng về quy trình giải quyết nhằm tránh kéo dài tình trạng vi phạm. Việc đáp ứng đúng thời hạn cũng như làm thủ tục đầy đủ không chỉ giúp giảm thiểu mức tiền phạt mà còn giữ gìn uy tín cá nhân và trách nhiệm xã hội.
Thời gian và quy trình giải quyết vi phạm
Thông thường, chủ xe có khoảng từ 15 đến 30 ngày kể từ ngày nhận được thông báo để hoàn tất việc nộp phạt hoặc làm rõ sự việc nếu có khiếu nại. Quy trình bao gồm tra cứu lỗi, chuẩn bị giấy tờ cần thiết và thực hiện theo hướng dẫn của cơ quan chức năng nhằm đảm bảo thủ tục được diễn ra nhanh chóng và chính xác.
Hậu quả và mức phạt đối với trường hợp không giải quyết kịp thời
Nếu chậm trễ trong việc giải quyết hoặc cố tình né tránh chịu trách nhiệm, chủ phương tiện sẽ phải đối mặt với mức tiền phạt tăng thêm cùng nguy cơ bị đình chỉ đăng ký hoặc tạm giữ giấy tờ liên quan. Đây là biện pháp mạnh mẽ nhằm răn đe và thúc đẩy ý thức tuân thủ luật pháp trong lĩnh vực giao thông đường bộ.
Tầm quan trọng của việc thường xuyên tra cứu thông tin phạt nguội
Việc chủ động theo dõi trạng thái vi phạm của phương tiện mình sử dụng là bước đầu tiên giúp hạn chế rủi ro phát sinh do những lỗi nhỏ chưa được biết tới. Tra cứu định kỳ còn góp phần nâng cao ý thức tự giác chấp hành luật giao thông cũng như tạo dựng thói quen văn minh khi tham gia giao thông hàng ngày.
Kết luận và khuyến nghị nâng cao ý thức chấp hành luật giao thông tại Hà Nội
Danh sách 221 ô tô và xe máy bị phạt nguội tại Hà Nội trong tháng 9 vừa qua là minh chứng rõ nét cho sự nghiêm túc của công tác quản lý an toàn giao thông thành phố. Để giảm thiểu tình trạng vi phạm tái diễn, mỗi cá nhân cần nâng cao ý thức tự giác tuân thủ pháp luật, đồng thời tận dụng tốt các kênh tra cứu cũng như phối hợp chặt chẽ với lực lượng chức năng khi có yêu cầu. Qua đó góp phần xây dựng môi trường giao thông văn minh, an toàn hơn cho cộng đồng.

